-

BAQS with Collaborators Have Made New Progress in the Research of Microwave-activated High-fidelity Three-qubit Gate
Scalable superconducting quantum processors require balancing critical constraints in coherence, con2025/09/26
MORE -

BAQIS Has Made New Progress in the Research of Dissipation-assisted Unambiguous Quantum State Discrimination
An unambiguous quantum state discrimination of two qubit states is experimentally demonstrated under2025/09/24
MORE -

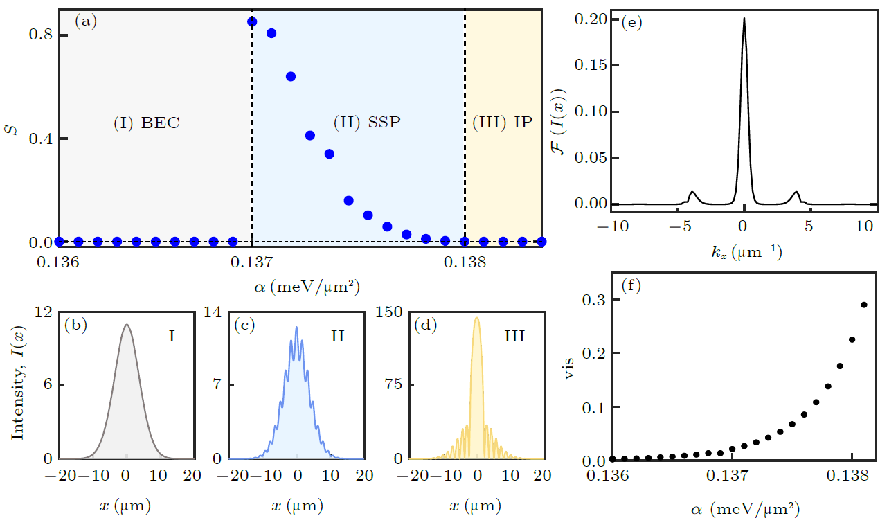
Ultrafast Optical Spectroscopy Group with Collaborators Has Proposed A Room-Temperature Scheme for Exciton-Polariton Supersolids
Supersolidity is a counterintuitive quantum phase of matter where the long-range spatial order of a2025/09/24
MORE -

Ultrafast Optical Spectroscopy Group with Collaborators Have Reported Direct evidence of Interfacial Coherent Electron-phonon Coupling in Single-unit-cell FeSe Film on Nb-doped SrTiO3
Interface-enhanced superconductivity in single-unit-cell FeSe onSrTiO3has been extensively pursued r2025/09/22
MORE
中文
Email
QCloud
Log in
